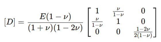
応力とひずみとの関係を表したマトリクス。(弾性マトリクス) フックの法則のEに相当する。

①変位ベクトル {u}\{u\}{u} からひずみを求めるのが Bマトリクス(ひずみ‐変位マトリクス)
②そのひずみから応力を求めるのが Dマトリクス
関係式は以下のようになる。

最終的に要素剛性マトリクスは

| マトリクス | 意味 | 関係式 |
|---|---|---|
| Bマトリクス | 変位 → ひずみ | ε=Bu |
| Dマトリクス | ひずみ → 応力 | σ=Dε |
| Kマトリクス | 剛性マトリクス | K=∫BTDBdV |
【具体例】—————————————————————————————————————-
◆平面応力の場合
板厚が薄い部材などで「平面応力状態」を仮定すると、Dマトリクスは以下のようになる

◆平面ひずみの場合
厚み方向の変位が抑えられる「平面ひずみ」の場合は、Dマトリクスは以下のようになる

